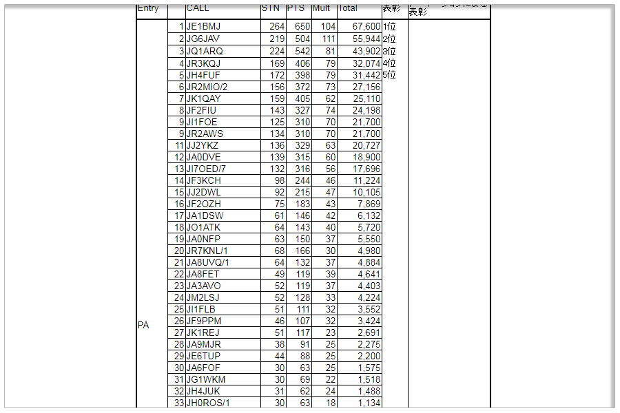
今年5月7日に開催され参加していた第8回QRP Sprint コンテストの結果が発表されていた。弊局JG6JAVはQRPオールバンド部門で全52局中2位入賞でした。ありがとうございます。
WEBより一部抜粋
全結果 > http://www.qrp-community.org/contest/2017/kekka/8thkekka.htm
マルチプライヤーは多かったけれども交信数が少ない。これは多分ローバンドとか50MHzで差が付いたのではないだろうか。局数が多い都心部には敵わない。
今年5月7日に開催され参加していた第8回QRP Sprint コンテストの結果が発表されていた。弊局JG6JAVはQRPオールバンド部門で全52局中2位入賞でした。ありがとうございます。
マルチプライヤーは多かったけれども交信数が少ない。これは多分ローバンドとか50MHzで差が付いたのではないだろうか。局数が多い都心部には敵わない。
コメント